Baze De Date Ase





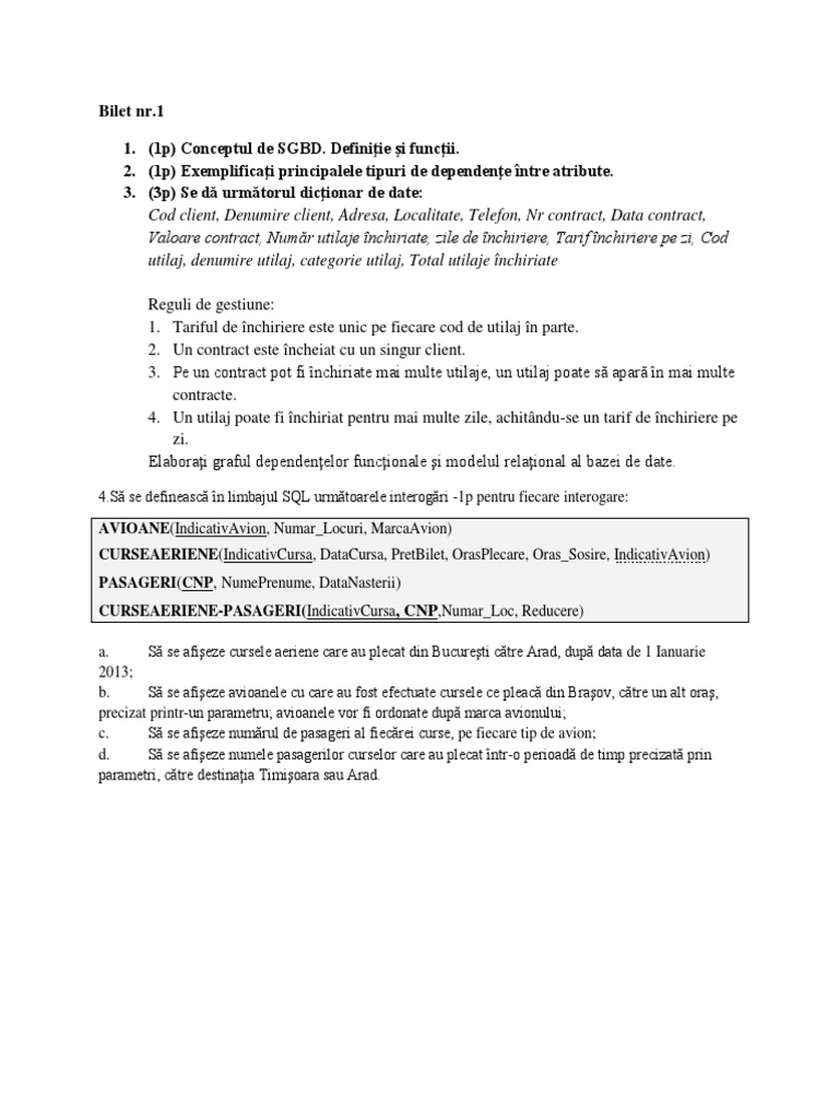
Bilet Examen Baze De Date Ase

Bilet Examen Baze De Date Ase

2

2

2

2

Sisteme De Baze De Date Evoluate Editura Ase

Sisteme De Baze De Date Evoluate Editura Ase

Bilet Examen Baze De Date Ase

Bilet Examen Baze De Date Ase

Ase Cibernetica Statistica Si Informatica Economica

Ase Cibernetica Statistica Si Informatica Economica

Ase Cibernetica Statistica Si Informatica Economica

Infosphere datastage big data management 1st year 2nd semester.

Baze de date ase. Pe o singură platformă online sunt disponibile 27 din cele mai populare baze de date proquest care acoperă peste 160 de domenii inclusiv afaceri știință și tehnologie medicină și sănătate literatură societate și cultură artă istorie religie calculatoare educație. Implementarea modelului se face logic prin atribute având rol de chei. Oferă acces la 18200 de reviste full text 2500 cărti broşuri ediţii de referinţa in limba engleza este posibilitatea traducerii în limbile franceză germană spaniolă portugheză. In continuare se prezinta cateva tipuri de sisteme de baze de date evoluate precum si doua dintre tehnologiile integrate in astfel de sisteme.

Dezvoltarea unor rețele de centre cd coordonate la nivel național și racordate la rețele europene și internaționale le va permite cercetătorilor români să acceseze baze științifice internaționale și va duce la creșterea gradului de implicare. Programul de masterat profesional baze de date suport pentru afaceri organizat în cadrul ase bucureşti se adresează în primul rând celor care doresc aprofundarea temeinică a problematicii în domeniul noilor tehnologii informatice şi celor care doresc să şi dezvolte sau îmbunătăţească o afacere utilizând tehnologiile informatice. Inteligenta afacerii business intelligence si grila de calculatoare grid computing. Cartea pleaca de la prezentarea unor aspecte fundamentale privind conceptul de sistem de baza de date sbd.

Proiectul anelis în valoare de 41 4 milioane euro finanțat din axa 1 a programului operațional competitivitate poc acțiunea 1 1 2. Cartea de fata isi propune sa ofere utilizatorilor fundamentarea teoretica si exemplele practice necesare dezvoltarii si utilizarii aplicatiilor cu baze de date. Atat in limbajul propriu procedural referirea in vfp cat si in nucleul extins de sql referirea in sql. Baze de date financiar bancare tip c sem 1 zi 2019 2020 finanţe asigurări bănci şi burse de valori finanţe şi bănci anul 2 teacher.

Notiunile teoretice prezentate sunt exemplificate imediat in visual foxpro vfp in doua variante comparative. Baza de date relaţională este un ansamblu de tabele prin care se reprezintă atât datele cât şi legăturile dintre ele. Baze de date bibliografice şi full text ale publicaţiilor periodice ale companiei editoriale ebsco.

Download Pdf Lungu Tratat De Baze De Date G0rw63py2eqk

Download Pdf Lungu Tratat De Baze De Date G0rw63py2eqk

Master Baze De Date Suport Pentru Master Baze De Date Suport Pentru Afaceri Facebook

Master Baze De Date Suport Pentru Master Baze De Date Suport Pentru Afaceri Facebook

Baze De Date Databases Ase Bucuresti Studocu

Baze De Date Databases Ase Bucuresti Studocu

Baze De Date Databases Ase Bucuresti Studocu

Baze De Date Databases Ase Bucuresti Studocu

Microeconomie Editura Ase

Microeconomie Editura Ase

Schema Bazei De Date A Unei Aplica ţ Ii De Instruire In Matematic ă Download Scientific Diagram

Schema Bazei De Date A Unei Aplica ţ Ii De Instruire In Matematic ă Download Scientific Diagram

Proiect Baze De Date Grotto Hair Studio Automatica 377150

Proiect Baze De Date Grotto Hair Studio Automatica 377150

Ase Synergies In Communication Conference Sic Bucharest 2020

Ase Synergies In Communication Conference Sic Bucharest 2020

Baze De Date Mongodb Lucrul Cu Mongodb

Baze De Date Mongodb Lucrul Cu Mongodb

Persistenta Datelor Metode Tehnologii Fisiere Serializare Baze De Date Probleme Decuplarea Componentelor Care Fac Accesul La Date Specifice Unei Ppt Download

Persistenta Datelor Metode Tehnologii Fisiere Serializare Baze De Date Probleme Decuplarea Componentelor Care Fac Accesul La Date Specifice Unei Ppt Download

Claudiu Vinte Professor Assistant Phd Bucharest Academy Of Economic Studies Bucharest Ase Department Of Economic Informatics And Cybernetics

Claudiu Vinte Professor Assistant Phd Bucharest Academy Of Economic Studies Bucharest Ase Department Of Economic Informatics And Cybernetics

Baze De Date Prin Exemple Editura Ase

Baze De Date Prin Exemple Editura Ase

Bd Sem 01 01 Introducere Baze De Date Relationale Youtube

Bd Sem 01 01 Introducere Baze De Date Relationale Youtube

Sgbd Oracle Sql Language Editura Ase

Sgbd Oracle Sql Language Editura Ase

Source : pinterest.com